1. Làm quen với phép chia đa thức
+) Phép chia hết: Cho hai đa thức `A` và `B` với `B ne 0`. Nếu có một đa thức `Q` sao cho `A=B.Q` thì ta nói đa thức `A` chia hết cho đa thức `B`. Khi đó:
`A:B=Q` hay `A/B=Q` , trong đó:
`A` là đa thức bị chia
`B` là đa thức chia
`Q` là đa thức thương
+) Cho hai đơn thức `a x^m` và `b x^n` (`m,n in NN; a,b in RR` và b ≠ 0). Khi đó nếu `m >= n` thì phép chia `a x^m` cho `b x^n` là phép chia hết và ta có: `a x^m: b x^n=a/b x^(m-n)` (quy ước: `x^0=1`)
2. Chia đa thức cho đa thức
a) Trường hợp chia hết
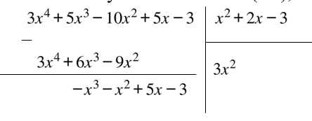
Để chia đa thức `A=3x^4+5x^3-10x^2+5x-3` cho đa thức `B=x^2+2x-3`, ta làm như sau:
+ Bước 1: Đặt tính chia tương tự như chia hai số tự nhiên. Lấy hạng tử bậc cao nhất của `A` chia cho hạng tử bậc cao nhất của `B`: `3x^4:x^2=3 x^2`
+ Bước 2: Lấy `A` trừ đi tích `B.(3x^2)`, ta được dư thứ nhất là: `-x^3-x^2+5x-3`

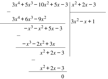
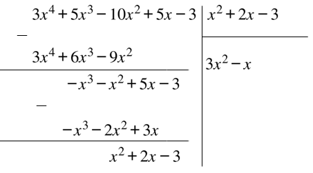
+ Bước 3: Lấy hạng tử bậc cao nhất của dư thứ nhất chia cho hạng tử bậc cao nhất của `B`:
`(-x^3):x^2=-x`
+ Bước 4: Lấy dư thứ nhất trừ đi tích `B.(-x)`, ta được dư thứ hai là `x^2+2x-3`:

+ Bước 5: Làm tương tự như trên, ta được:

Dư cuối cùng bằng `0` nên quá trình chia kết thúc.
Ta được thương là đa thức `3x^2-x+1`.
b) Trường hợp chia có dư
Khi chia đa thức `A` cho đa thức `B`:
+ Đa thức dư `R` phải bằng `0` hoặc có bậc nhỏ hơn bậc của `B`.
+ Nếu thương là đa thức `Q`, dư là `R` thì ta có đẳng thức `A=BQ+R`.
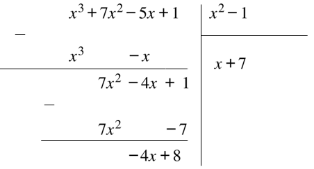
Ví dụ:
