1. Phép chia hai đa thức
Đối với hai đa thức tùy ý `A` và `B` của cùng một biến, tồn tại duy nhất một cặp đa thức `Q` và `R` sao cho `A = B.Q + R`, trong đó `R = 0` hoặc bậc của `R` nhỏ hơn bậc của `B`.
`A`: Đa thức bị chia. `B`: Đa thức chia
`Q`: Đa thức thương (thương) `R`: Đa thức dư (dư)
Nếu `R = 0` thì phép chia `A` cho `B` là phép chia hết
Nếu`R ≠ 0` thì phép chia `A` cho `B` là phép chia có dư
2. Các bước chia đa thức `A` cho đa thức `B` (Đã sắp xếp)
- Đặt phép chia
- Tìm hạng tử bậc cao nhất của thương bằng cách chia hạng tử bậc cao nhất của đa thức bị chia cho hạng tử bậc cao nhất của đa thức chia
- Tìm dư thứ nhất
- Tìm hạng tử thứ hai của thương bằng cách chia hạng tử bậc cao nhất của dư thứ nhất cho hạng tử bậc cao nhất của B
- Tìm dư thứ hai
- Tìm hạng tử thứ ba của thương bằng cách chia hạng tử bậc cao nhất của dư thứ hai cho hạng tử bậc cao nhất của `B`
- Cứ thế tiếp tục cho đến khi nào bậc của đa thức dư nhỏ hơn bậc của đa thức `B`
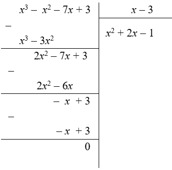
VD: `a,(x^3- x^2 - 7x + 3) : (x - 3)`

Vậy `(x^3 - x^2 - 7x + 3) : (x - 3) = x^2 + 2x - 1`. Đây là một phép chia hết.
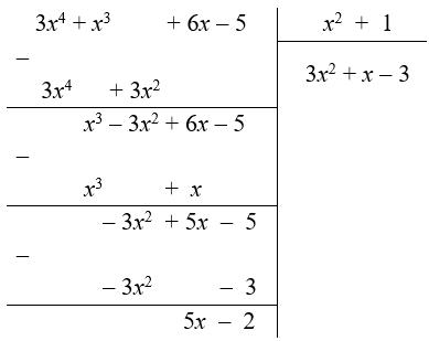
`b, (3x^4 + x^3 + 6x - 5) : (x^2 + 1)`

Vậy `(3x^4 + x^3 + 6x - 5) : (x^2 + 1)` bằng `3x^2 + x - 3` và dư `5x – 2`.
Đây là một phép chia có dư