1. Nhân đơn thức với đơn thức
Quy tắc: Muốn nhân một đơn thức `A` với một đơn thức `B`, ta làm như sau:
`-` Nhân hệ số của đơn thức `A` với hệ số của đơn thức `B`;
`-` Nhân lũy thừa của biến trong `A` với lũy thừa của biến đó trong `B`;
`-` Nhân các kết quả vừa tìm được với nhau.
Ví dụ: `5x^6 .3x^2= 5.2 .x^6 .x^2 =10x^(6+2)=10x^8.`
2. Nhân đơn thức với đa thức
Quy tắc: Muốn nhân một đơn thức với một đa thức, ta nhân đơn thức đó với từng đơn thức của đa thức rồi cộng các tích với nhau.
Ví dụ: `(-7x^2).(1/7x^2+2x-1)`
`=(-7x^2).(1/7x^2)+(-7x^2).(2x)+(-7x^2).(-1)`
`=x^4-14x^3+7x^2`
3. Nhân đa thức với đa thức
Quy tắc: Muốn nhân một đa thức với một đa thức, ta nhân mỗi đơn thức của đa thức này với từng đơn thức của đa thức kia rồi cộng các tích với nhau.
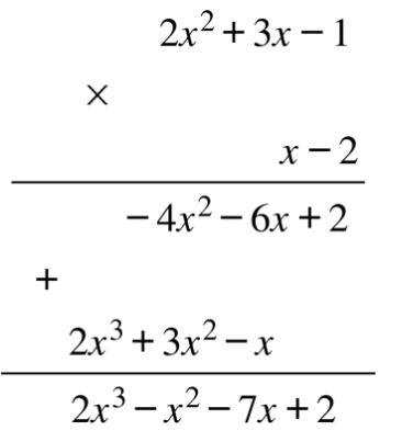
Ví dụ: Thực hiện phép nhân `(x-2).(2x^2+3x-1)`
`(x-2).(2x^2+3x-1)=x.(2x^2+3x-1)-2.(2x^2+3x-1)`
`=x.2x^2+x.3x+x.(-1)+(-2).2x^2+(-2).3x+(-2).(-1)`
`=2x^3+3x^2-x-4x^2-6x+2`
`=2x^3+(3x^2-4x^2)-(x+6x)+2`
`=2x^3-x^2-7x+2`
Chú ý:
`-` Sau khi thực hiện phép nhân hai đa thức, ta thường viết đa thức tích ở dạng thu gọn và sắp xếp các đơn thức theo số mũ tăng dần hoặc giảm dần của biến.
`-` Ta có thể trình bày phép nhân trên bằng cách đặt tính nhân:

Khi trình bày theo cách này ta cần:
`+` Nhân lần lượt mỗi hạng tử ở dòng dưới với đa thức ở dòng trên và viết kết quả trong một dòng riêng.
`+` Viết các dòng sao cho các hạng tử cùng bậc thẳng cột với nhau (để thực hiện phép cộng theo cột).