Gợi ý
Để tính số phiếu khen của Mai, ta lấy số phiếu khen của Lan trừ đi `4` phiếu.
Hotline: 1900 633 551












Điểm 0
Góp ý - Báo lỗi
Chọn đáp án đúng nhất
Tuần vừa qua, Lan được cô giáo tặng `15` phiếu khen, Mai được ít hơn Lan `4` phiếu khen. Hỏi Mai được tặng bao nhiêu phiếu khen?

`21` phiếu khen
`11` phiếu khen
`19` phiếu khen
Gợi ý
Để tính số phiếu khen của Mai, ta lấy số phiếu khen của Lan trừ đi `4` phiếu.
`11` phiếu khen
Hướng dẫn giải chi tiết
Bài giải
Mai được tặng số phiếu khen là:
`15 - 4 = 11` (phiếu khen)
Đáp số: `11` phiếu khen
Điền đáp án đúng
Điền số thích hợp vào ô trống:

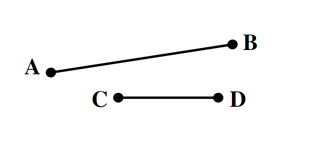
Đoạn thẳng `AB` dài `17cm`, đoạn thẳng `CD` ngắn hơn đoạn thẳng `AB` `5cm`. Vậy đoạn thẳng `CD` dài `cm`.
Gợi ý
Để tính độ dài đoạn `CD`, ta lấy độ dài đoạn `AB` trừ đi `5cm`.
Đoạn thẳng `AB` dài `17cm`, đoạn thẳng `CD` ngắn hơn đoạn thẳng `AB` `5cm`. Vậy đoạn thẳng `CD` dài `12 cm`.
Hướng dẫn giải chi tiết
Đoạn thẳng `CD` dài số xăng-ti-mét là:
`17 - 5 = 12` `(cm)`
Đáp số: `12cm`
Đáp án cần điền vào ô trống là `12`
Điền đáp án đúng
Phép tính đúng cho bài toán dưới đây là:

(bạn)
Gợi ý
Đề bài : Tổ một có `14` bạn. Tổ hai ít hơn tổ một `3` bạn. Hỏi tổ hai có bao nhiêu bạn?
`14 - 3 = 11` (bạn)
Hướng dẫn giải chi tiết
Tổ hai có số bạn là:
`14 - 3 = 11` (bạn)
Đáp số: `11` bạn.
Chọn đáp án đúng nhất
Ngọc hái được `34` quả táo, Ngọc hái được ít hơn Mỹ `12` quả táo. Vậy Mỹ hái được bao nhiêu quả táo?

`36` quả
`46` quả
`56` quả
Gợi ý
Để tính số quả táo Mỹ hái được, ta lấy số táo Ngọc hái được cộng thêm `12` quả.
`46` quả
Hướng dẫn giải chi tiết
Mỹ hái được số quả táo là:
`34 + 12 = 46` (quả)
Đáp số: `46` quả táo.
Chọn nhiều đáp án đúng
Những phép tính nào sau đây có kết quả bằng `8`?
`14 - 8 + 2`
`17 - 9 + 0`
`9 + 9 - 8`
`12 - 5 + 1`
`14 - 8 + 2`
,`17 - 9 + 0`
,`12 - 5 + 1`
Hướng dẫn giải chi tiết
Ta có:
`14 - 8 + 2 = 6 + 2 = 8`
`17 - 9 + 0 = 8 + 0 = 8`
`9 + 9 - 8 = 18 - 8 = 10`
`12 - 5 + 1 = 7 + 1 = 8`
Vậy những phép tính có kết quả bằng `8` là:
`12 - 5 + 1` ; `17 - 9 + 0` ; `14 - 8 + 2`
Chọn đáp án đúng nhất
Năm nay, Tom `8` tuổi, Tom ít hơn Jack `2` tuổi. Vậy `2` năm nữa, Tom kém Jack bao nhiêu tuổi?

`8` tuổi
`6` tuổi
`2` tuổi
Gợi ý
Hiệu số tuổi luôn không đổi theo thời gian.
`2` tuổi
Hướng dẫn giải chi tiết
Vì mỗi năm mỗi người tăng một tuổi. Nên hiệu số tuổi không thay đổi theo thời gian. Vậy sau hai năm nữa, Tom vẫn kém Jack `2` tuổi.
Chọn đáp án đúng nhất
Tìm hai số, biết tổng của hai số đó là `12`. Số hạng thứ nhất ít hơn số hạng thứ hai `2` đơn vị.

`5` và `7`
`6` và `6`
`8` và `4`
Gợi ý
Tách `12 = 6 + 6 = 7 + 5 = 8 + 4 = 9 + 3`
Con hãy chọn cặp số thích hợp
`5` và `7`
Hướng dẫn giải chi tiết
Tách `12 = 6 + 6 = 7 + 5 = 8 + 4 = 9 + 3`
Cặp số thích hợp là `5` và `7`
Chọn đáp án đúng nhất
Nhà An nuôi `16` con gà. Nhà Hùng nuôi nhiều hơn nhà An `3` con gà. Hỏi nhà Hùng nuôi được bao nhiêu con gà?

`17` con
`18` con
`19` con
Gợi ý
Để tính số gà nhà Hùng, ta lấy số gà nhà An cộng thêm `3` con.
`19` con
Hướng dẫn giải chi tiết
Nhà Hùng có số con gà là:
`16 + 3 = 19` (con)
Đáp số: `19` con gà.
Chọn đáp án đúng nhất
Năm nay ông `56` tuổi. Ông hơn bà `6` tuổi. Vậy tuổi bà là:

`50` tuổi
`60` tuổi
`70` tuổi
Gợi ý
Để tính tuổi bà, ta lấy tuổi ông trừ đi `6` tuổi vì bà kém ông `6` tuổi.
`50` tuổi
Hướng dẫn giải chi tiết
Tuổi của bà là:
`56 - 6 = 50` ( tuổi)
Đáp số: `50` tuổi.
Chọn đáp án đúng nhất
Băng giấy thứ nhất dài `36cm`, băng giấy thứ hai dài hơn băng giấy thứ nhất `12cm`. Hỏi băng giấy thứ hai dài bao nhiêu xăng - ti - mét?

`89cm`
`12cm`
`48cm`
`49cm`
Gợi ý
Vì băng giấy thứ hai dài hơn băng giấy thứ nhất `12 cm` nên để tính chiều dài băng giấy thứ hai ta lấy chiều dài băng giấy thứ nhất cộng thêm `12cm`.
`48cm`
Hướng dẫn giải chi tiết
Băng giấy thứ hai dài số xăng-ti-mét là:
`36 + 12 = 48 (cm)`
Đáp số: `48cm`