Gợi ý
Đa thức dư phải bằng `0` hoặc có bậc nhỏ hơn bậc của đa thức `B`
Hotline: 1900 633 551












Điểm 0
Góp ý - Báo lỗi
Chọn đáp án đúng nhất
Bạn Nhi thực hiện phép chia một đa thức `A` cho đa thức `B=2x^2+1` thì bạn không thể nhận được đa thức dư nào sau đây?
`0`
`-7`
`x-1`
`x^2`
Gợi ý
Đa thức dư phải bằng `0` hoặc có bậc nhỏ hơn bậc của đa thức `B`
`x^2`
Hướng dẫn giải chi tiết
Vì đa thức dư phải bằng `0` hoặc có bậc nhỏ hơn bậc của đa thức `B` nên bạn Nhi không thể nhận được đa thức dư bằng `x^2`
Điền đáp án đúng
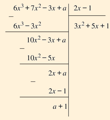
Xác định `a` để đa thức `C(x)=6x^3+7x^2-3x+a` chia đa thức `D(x)=2x-1` có dư bằng `2`.
`a=`
Gợi ý
Đặt phép chia đa thức `C(x)` cho đa thức `D(x)` để tìm dư rồi cho dư tìm được bằng `2` để tìm ra `a`
`1`
Hướng dẫn giải chi tiết

`=> a+1=2 => a=1`
Vậy `a=1`
Điền đáp án đúng
Rút gọn và tính giá trị biểu thức `F(x)=(4x^3+3x^2-2x):(x^2+3/4x-1/2)` tại `x=7`.
`F(7)=`
Gợi ý
Thực hiện phép chia để rút gọn `F(x)` trước rồi thay `x=7` vào `F(x)` để tính `F(7)`
`28`
Hướng dẫn giải chi tiết

`=> F(x)=4x`
Thay `x=7` vào `F(x)` ta có:
`F(7)=4.7=28`
Vậy `F(7)=28`.
Chọn đáp án đúng nhất
Cho diện tích tam giác sau là: `S_△=1/4x^3+1/2x^2` và biết chiều cao là `2x`. Hãy tìm biểu thức thể hiện độ dài đáy của tam giác.

`1/8x^2+1/4x`
`1/4 x^2+1/4x`
`1/2 x^2+1/2 x`
`1/4 x^2+1/2 x`
Gợi ý
Sử dụng công thức tính độ dài đáy khi biết chiều cao: đáy `=2.S_△`: chiều cao
`1/4 x^2+1/2 x`
Hướng dẫn giải chi tiết
Độ dài đáy của tam giác trên là:
`2.(1/4 x^3+1/2 x^2): 2x=(1/4x^3+1/2 x^2):x=1/4 x^2+1/2 x`
Vậy biểu thức thể hiện độ dài đáy của tam giác là: `1/4 x^2+1/2x`
Chọn đáp án đúng nhất
Tìm `N` biết `(x^3+2x^2+x):N=x+1`
`N=x^2+1`
`N=x^2+x`
`N=x^2+x+1`
`N=x^2+2x+1`
Gợi ý
Để tìm đa thức `N` ta lấy đa thức bị chia chia cho đa thức thương
`N=x^2+x`
Hướng dẫn giải chi tiết
Ta có: `(x^3+2x^2+x) : N=x+1`
`=> N = (x^3+2x^2+x) : (x+1)`

Vậy `N=x^2+x`.
Chọn đáp án đúng nhất
Chia đa thức `10x^3-x^2-36x` cho đa thức `2x^2+x` nhận được thương và dư là?
Thương là `5x+3`, dư là `33x`
Thương là `5x+3`, dư là `-33x`
Thương là `5x-3`, dư là `-33x`
Thương là `5x-3`, dư là `33x`
Gợi ý
Đặt phép chia đa thức cho đa thức
Thương là `5x-3`, dư là `-33x`
Hướng dẫn giải chi tiết

Vậy đa thức `10x^3-x^2-36x` chia đa thức `2x^2+x` được thương là `5x-3` và dư là `-33x`
Chọn đáp án đúng nhất
Tìm thương của phép chia sau: `(x^3+7x^2+6x):(x+1)`
`x^2+6x`
`x^2+7x`
`x^2-6x`
`x^2-7x`
Gợi ý
Đặt phép chia đa thức cho đa thức
`x^2+6x`
Hướng dẫn giải chi tiết

Vậy kết quả là: `x^2+6x`.
Chọn đáp án đúng nhất
Tìm `M` biết `1 2/3x^5 : (-x^2)=M`
`M=2/3 x^3`
`M=(-5)/3 x^3`
`M=(-2)/3 x^3`
`5/3 x^3`
Gợi ý
Thực hiện phép chia đơn thức cho đơn thức
`M=(-5)/3 x^3`
Hướng dẫn giải chi tiết
`1 2/3x^5 : (-x^2) =5/3 x^5:(-x^2)=-5/3 x^(5-2)=-5/3x^3`
Vậy `M=-5/3 x^3`
Chọn đáp án đúng nhất
Cho biết dư của một phép chia là `1` thì đa thức nào không thể là đa thức chia?
`0`
`x` `(x ne 0)`
`x^2+1`
`x^3` `(x ne 0)`
Gợi ý
Xem lại lý thuyết phép chia hai đa thức
`0`
Hướng dẫn giải chi tiết
Vì đa thức chia phải khác `0` nên `0` không thể là đa thức chia.
Chọn đáp án đúng nhất
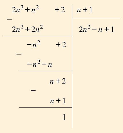
Cho `P=(2n^3+n^2+2)/(n+1)`. Tìm `n in ZZ` để `P in ZZ.`
`n in {-1;1}`
`n in {-1;0}`
`n in {-2;0}`
`n in {-2;1}`
Gợi ý
Thực hiện phép chia tử số của `P` cho mẫu số để tìm thương và dư. Để `P` là số nguyên thì cần tìm `n` sao cho tử số phải chia hết cho mẫu số
`n in {-2;0}`
Hướng dẫn giải chi tiết

`=> 2n^3+n^2+2=(2n^2-n+1)(n+1)+1`
Để `2n^3+n^2+2 ⋮ n+1` thì:
`1⋮n+1`
`=> n+1 in Ư(1)={-1;1}`
+ Với `n+1=1` thì `n=0`
+ Với `n+1=-1` thì `n=-2`
Vậy `n in {-2;0}`.