Hướng dẫn giải chi tiết
Bình phương của tổng `a` và `b` là:
`(a+b)^2`
Hotline: 1900 633 551












Điểm 0
Góp ý - Báo lỗi
Chọn đáp án đúng nhất
Biểu thức đại số biểu diễn bình phương của tổng `a` và `b` là:
`a+b`
`a^2 + b^2`
`(a+b)^2`
Đáp án khác
`(a+b)^2`
Hướng dẫn giải chi tiết
Bình phương của tổng `a` và `b` là:
`(a+b)^2`
Điền đáp án đúng
Để biểu thức `64-x^3` có giá trị bằng `0` thì giá trị của `x` là:
`x=`
`x=4`
Hướng dẫn giải chi tiết
Để biểu thức `64 - x^3` có giá trị bằng `0`
`=>64-x^3=0`
`=>x^3=64`
`=>x^3=4^3`
`=>x=4`
Vậy giá trị của `x` là `4`.
Chọn đáp án đúng nhất
Trong các biểu thức sau, biểu thức nào là đơn thức?
`xy+x^2y`
`12.(-1)/5. x^3`
`2xyz - 5`
`28+x`
`12.(-1)/5. x^3`
Hướng dẫn giải chi tiết
Các đơn thức trong biểu thức trên là:
`12.(-1)/5. x^3`
Chọn đáp án đúng nhất
Tính giá trị của đa thức `A= 4x^2 - 4x +1` tại `x=1`
`1`
`-1`
`2`
`-2`
`1`
Hướng dẫn giải chi tiết
Thay `x=1` vào biểu thức `A` ta được: `A=4.1^2 - 4.1 +1=4-4+1=1`
Vậy với `x=1` thì `A=1`
Điền đáp án đúng
Cho đơn thức `((-1)/2 x^2).(-8)x^2` có:
Hệ số là
Bậc là
Hệ số là `4`
Bậc là `4`
Hướng dẫn giải chi tiết
`((-1)/2 x^2).(-8)x^2 = [(-1)/2 .(-8)].x^2.x^2 = 4x^4`
Vậy `((-1)/2 x^2).(-8)x^2` có hệ số là `4`, bậc là `4`.
Kéo / thả đáp án đúng vào ô trống
Các đơn thức đồng dạng với `3/2x` là:
Các đơn thức đồng dạng với `-2x^2` là:
Các đơn thức đồng dạng với `3/2x` là: `-2x`
Các đơn thức đồng dạng với `-2x^2` là: `3x^2`
Hướng dẫn giải chi tiết
Các đơn thức đồng dạng với `3/2x` là: `-2x`
Các đơn thức đồng dạng với `-2x^2` là: `3x^2`.
Chọn đáp án đúng nhất
Tìm `A` biết: `5/7 x^5 : (-x^2)=A`.
`A= 5/7x^3`
`A=5/7x^7`
`A=(-5)/7 x^3`
`A=(-7)/5 x^3`
`A=(-5)/7 x^3`
Hướng dẫn giải chi tiết
`A=5/7x^5 : (-x^2)`
`A= (5/7 :(-1)). (x^5 :x^2)`
`A=(-5)/7 x^3`.
Chọn đáp án đúng nhất
Tính giá trị biểu thức `A=(3a+7b)/(3a-2b)` biết `a/b=3`
`16`
`16/7`
`2`
`3`
`16/7`
Hướng dẫn giải chi tiết
Vì `a/b=3 => a=3.b`
Thay `a=3b` vào biểu thức `A`, ta được:
`A= (3.3b+7b)/(3.3b-2b) =(9b+7b)/(9b-2b) =(16b)/(7b) =16/7`
Vậy với `a/b=3` thì `A=16/7`
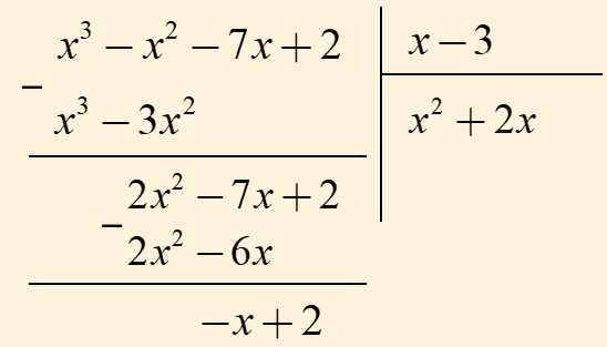
Chọn đáp án đúng nhất
Tìm thương của phép chia sau:
`(x^3 - x^2 -7x +2):(x-3)`
`x^2+2x`
`x^2 - 2x`
`x^2 -6x`
`x^2 -7x`
`x^2+2x`
Hướng dẫn giải chi tiết

Thương của phép chia là: `x^2 +2x`
Điền đáp án đúng
Với `a/b=3/2` thì giá trị biểu thức `C= (3a - 7b)/(7a - 3b)` là:
`C=`
(kết quả là phân số tối giản với mẫu số nguyên dương)
`C=(-1)/3`
Hướng dẫn giải chi tiết
Vì `a/b=3/2 => a/3 = b/2`
Đặt `a/3=b/2=h=>{(a=3h),(b=2h):}`
`=>C= (3.3h - 7.2h)/(7.3h - 3.2h) =(9h-14h)/(21h-6h)=(-5h)/(15h)=(-1)/3`
Vậy `C=(-1)/3`
Chọn đáp án đúng nhất
Cho hai đa thức `f(x)=5x^4 - 3x^2 +3x - 1; g(x)=-5x^4 + 4x^2 -x -x^2 +2`
Kết quả của `f(x) + g(x)` là:
`x^2+2x+1`
`2x+1`
`-x^2 +2x`
`-x^2 +1`
`2x+1`
Hướng dẫn giải chi tiết
`g(x)=-5x^4 + 4x^2 -x -x^2 +2`
`g(x)=-5x^4 +(4x^2-x^2)-x+2`
`g(x)=-5x^4 +3x^2 -x +2`
`f(x)=5x^4 - 3x^2 +3x - 1`
Cộng hai vế ta có:
`f(x)+g(x)= 0+0+2x+1=2x+1`
Vậy `f(x)+g(x)=2x+1`
Chọn đáp án đúng nhất
Tìm bậc của tích các đơn thức sau: `(2x).(3x^2).(4x^3).(5x^4)...(101x^(100))`
`100`
`200`
`5050`
`10100`
`5050`
Hướng dẫn giải chi tiết
Bậc của `(2x).(3x^2).(4x^3).(5x^4)...(101x^(100))` là:
`1+2+3+4+...+100=((100+1).100)/2 = 5050`
Vậy đáp an là: `5050`.
Điền đáp án đúng
Tính giá trị của biểu thức
`C=3x^2y+2x^3y+3xy^2+2x^2y^2+5` biết `x+y=0`
`C=`
`C=5`
Hướng dẫn giải chi tiết
`C=3x^2y+2x^3y+3xy^2+2x^2y^2+5`
`=(3x^2y+3xy^2)+(2x^3y+2x^2y^2)+5`
`=3xy(x+y)+2x^2y(x+y)+5`
`=3xy.0+2x^2y.0+5`
`=0+0+5`
`=5`
Vậy `C=5`
Điền đáp án đúng
Tìm giá trị lớn nhất của biểu thức
`A=(x^2y^3 + x^3y^2 - x^2 +y^2 +5)-(x^2y^3 + x^3y^2+2y^2-1)`
Giá trị lớn nhất của biểu thức `A` là:
Giá trị lớn nhất của biểu thức `A` là: `6`
Hướng dẫn giải chi tiết
`A=(x^2y^3 + x^3y^2 - x^2 +y^2 +5)-(x^2y^3 + x^3y^2+2y^2-1)`
`=x^2y^3 + x^3y^2 - x^2 +y^2 +5-x^2y^3 - x^3y^2-2y^2+1`
`=(x^2y^3 - x^2y^3) + (x^3y^2-x^3y^2) -x^2 + (y^2-2y^2) +(5+1)`
`=-x^2 - y^2 +6`
Ta có: `x^2 ge 0` với `AAx=>-x^2 le0`
`y^2 ge 0` với `AAy=>-y^2 le 0`
`=> -x^2-y^2 le 0`
`=> -x^2-y^2+6 le 6`
Vậy `GTLN` của `A` là `6`
Dấu `"="` xảy ra khi và chỉ khi:
`{(x^2=0),(y^2=0):} => {(x=0),(y=0):}`
Điền đáp án đúng
Tính các hệ số `a, b, c` của đa thức `P(x)=ax^2+bx+c` biết:
`P(0)=2017; P(1)=2018;P(-1)=2019`
`a=` ; `b=` ; `c=`
(kết quả là phân số tối giản với mẫu số nguyên dương)
`a=3/2`; `b=-1/2`; `c=2017`
Hướng dẫn giải chi tiết
`P(x)=ax^2+bx+c`
`P(0)=2017=>a.0^2+b.0+c=2017=>c=2017`
`P(1)=2018=>a.1^2+b.1+c=2018`
`=>a+b=1=>b=1-a`
`P(-1)=2019=>a.(-1)^2+b.(-1)+c=2019`
`a-b+2017=2019=>a-b=2`
Thay `b=1-a` vào ta có:
`a-(1-a)=2`
`a-1+a=2`
`2a-1=2`
`2a=3`
`a=3/2`
Vì `b=1-a=>b=1-3/2=(-1)/2`
Vậy `a=3/2`; `b=-1/2`;`c=2017`.